Skip to content
Owners Manual PDFOwners Manual PDF
  • Login
  • $0.00
    • No products in the cart.

      Return to shop

  • Cart

    No products in the cart.

    Return to shop

  • Category
  • Menu
  • About us
  • Shop
  • News
  • Contact Us
  • Aisle-Master
    • Aisle-Master Operator Manual PDF
    • Aisle-Master Parts Manual PDF
    • Aisle-Master Service Manual PDF
  • BT
    • BT Operator Manual PDF
    • BT Parts Manual PDF
    • BT Service Manual PDF
    • BT Wiring Diagrams PDF
  • Caterpillar
    • Caterpillar Operation Manual PDF
    • Caterpillar Parts Manual PDF
    • Caterpillar Service Manual PDF
    • Caterpillar Wiring Diagrams PDF
  • Mitsubishi
    • Mitsubishi Operation Manual PDF
    • Mitsubishi Operator Manual PDF
    • Mitsubishi Other Manual PDF
    • Mitsubishi Parts Manual PDF
    • Mitsubishi Service Manual PDF
    • Mitsubishi Wiring Diagrams PDF
    • Mitsubishi Workshop Manual PDF
  • Cesab
    • Cesab Operator Manual PDF
    • Cesab Parts Manual PDF
    • Cesab Service Manual PDF
  • Combilift
    • Combilift Operator Manual PDF
    • Combilift Parts Manual PDF
    • Combilift Service Manual PDF
    • Combilift Wiring Diagrams PDF
  • Deutz
    • Deutz Operator Manual PDF
    • Deutz Parts Manual PDF
  • Doosan
    • Doosan Operator Manual PDF
    • Doosan Other Manual PDF
    • Doosan Parts Manual PDF
    • Doosan Service Manual PDF
    • Doosan Wiring Diagrams PDF
  • EP Forklift
    • EP Forklift Operator Manual PDF
    • EP Forklift Parts Manual PDF
    • EP Forklift Service Manual PDF
  • Hangcha
    • Hangcha Operator Manual PDF
    • Hangcha Other Manual PDF
    • Hangcha Parts Manual PDF
    • Hangcha Service Manual PDF
  • IMPCO
    • IMPCO Operator Manual PDF
    • IMPCO Parts Manual PDF
    • IMPCO Service Manual PDF
  • Jiachen
    • Jiachen Operator Manual PDF
    • Jiachen Other Manual PDF
  • JLG
    • JLG Operator Manual PDF
    • JLG Parts Manual PDF
    • JLG Service Manual PDF
  • Kubota
    • Kubota Operator Manual PDF
    • Kubota Parts Manual PDF
    • Kubota Workshop Manual PDF
  • Mlift
    • Mlift Operation Manual PDF
    • Mlift Service Manual PDF
  • Nissan
    • Nissan Other Manual PDF
    • Nissan Service Manual PDF
  • Okamura
    • Okamura Other Manual PDF
    • Okamura Parts Manual PDF
    • Okamura Service Manual PDF
  • Perkins
    • Perkins Operation Manual PDF
    • Perkins Parts Manual PDF
  • PSI
    • PSI Operator Manual PDF
    • PSI Parts Manual PDF
    • PSI Service Manual PDF
  • Towmotor
    • Towmotor Operation Manual PDF
    • Towmotor Parts Manual PDF
    • Towmotor Service Manual PDF
  • Toyota
    • Toyota Parts Manual PDF
    • Toyota Service Manual PDF
  • Xinchai
    • Xinchai Operator Manual PDF
    • Xinchai Parts Manual PDF
    • Xinchai Workshop Manual PDF
    • Xinchai Other Manual PDF
  • Yanmar
    • Yanmar Operator Manual PDF
    • Yanmar Parts Manual PDF
    • Yanmar Service Manual PDF
    • Yanmar Other Manual PDF
  • Yitou
    • Yitou Operator Manual PDF
    • Yitou Other Manual PDF
    • Yitou Parts Manual PDF
Support
Email
admin@ownersmanualpdf.net
Follow us
Home / Mitsubishi / Mitsubishi Service Manual PDF
Mitsubishi K21, K25 Engine Service Manual 99789-55101
Mitsubishi K21, K25 Engine Service Manual 99789-55101 - Image 2
Mitsubishi K21, K25 Engine Service Manual 99789-55101 - Image 3
Mitsubishi K21, K25 Engine Service Manual 99789-55101 - Image 4
Mitsubishi K21, K25 Engine Service Manual 99789-55101 - Image 5
mitsubishi k21 k25 engine service manual 99789 55101 2
mitsubishi k21 k25 engine service manual 99789 55101 3
mitsubishi k21 k25 engine service manual 99789 55101 4
mitsubishi k21 k25 engine service manual 99789 55101 5

Mitsubishi K21, K25 Engine Service Manual 99789-55101

$50.00

  • Type Of Manual: Service Manual
  • Manual ID: 99789-55101
  • Number of Pages: 232
  • Size: 5.5MB
  • Format: PDF
Category: Mitsubishi Service Manual PDF
Product Categories
  • Aisle-Master (0)
    • Aisle-Master Operator Manual PDF (0)
    • Aisle-Master Parts Manual PDF (0)
    • Aisle-Master Service Manual PDF (0)
  • All Product (4091)
    • CAT (4091)
      • Articulated Dump Truck (55)
        • Articulated Dump Truck (55)
        • CAT (55)
      • Asphalt (93)
        • Asphalt (93)
        • CAT (93)
      • Compactor (20)
        • CAT (20)
        • Compactor (20)
      • Dozer (712)
        • Articulated Dump Truck (1)
        • CAT (712)
        • Dozer (709)
        • Engine (2)
      • Engine (873)
        • CAT (873)
        • Engine (873)
      • Excavator (1203)
        • CAT (1203)
        • Excavator (1203)
      • Forklift (11)
        • CAT (11)
        • Forklift (11)
      • Loader (654)
        • CAT (654)
        • Loader (654)
          • CAT (0)
          • Loader (0)
      • Motor Grader (228)
        • CAT (228)
        • Motor Grader (228)
      • Scraper (90)
        • CAT (90)
        • Scraper (90)
      • Skidder (17)
        • CAT (17)
        • Skidder (10)
        • Skidsteer (7)
      • Skidsteer (106)
        • CAT (106)
        • Skidsteer (106)
      • Telehandler (29)
        • CAT (29)
        • Telehandler (29)
  • Big Joe (0)
    • Big Joe Service Manual PDF (0)
  • BT (1590)
    • BT Operator Manual PDF (190)
    • BT Parts Manual PDF (1400)
    • BT Service Manual PDF (0)
    • BT Wiring Diagrams PDF (0)
  • Bucyrus (0)
    • Bucyrus Operation Manual PDF (0)
    • Bucyrus Parts Manual PDF (0)
    • Bucyrus Service Manual PDF (0)
    • Bucyrus Wiring Diagrams PDF (0)
  • Carraro (0)
    • Carraro Parts Manual PDF (0)
  • Caterpillar (3228)
    • Caterpillar Operation Manual PDF (376)
    • Caterpillar Part Manual PDF (2168)
    • Caterpillar Parts Manual PDF (278)
    • Caterpillar Service Manual PDF (324)
    • Caterpillar Wiring Diagrams PDF (82)
  • Cesab (0)
    • Cesab Operator Manual PDF (0)
    • Cesab Parts Manual PDF (0)
    • Cesab Service Manual PDF (0)
  • Combilift (0)
    • Combilift Operator Manual PDF (0)
    • Combilift Parts Manual PDF (0)
    • Combilift Service Manual PDF (0)
    • Combilift Wiring Diagrams PDF (0)
  • Curtis (0)
    • Curtis Operator Manual PDF (0)
  • Daewoo (0)
    • Daewoo Wiring Diagrams PDF (0)
  • Davis Derby (0)
    • Davis Derby Service Manual PDF (0)
  • Deutz (0)
    • Deutz Operator Manual PDF (0)
    • Deutz Parts Manual PDF (0)
  • Dongfeng Chaoyang (0)
    • Dongfeng Chaoyang Parts Manual PDF (0)
  • Doosan (0)
    • Doosan Operator Manual PDF (0)
    • Doosan Other Manual PDF (0)
    • Doosan Parts Manual PDF (0)
    • Doosan Service Manual PDF (0)
    • Doosan Wiring Diagrams PDF (0)
  • Dungheinrich (1)
    • Dungheinrich Operation Manual PDF (1)
  • Easycon II (0)
    • Easycon II Operator Manual PDF (0)
  • Eneroc (0)
    • Eneroc Service Manual PDF (0)
  • EP Forklift (0)
    • EP Forklift Operator Manual PDF (0)
    • EP Forklift Parts Manual PDF (0)
    • EP Forklift Service Manual PDF (0)
  • Guangdong (0)
    • Guangdong Operator Manual PDF (0)
  • Hangcha (584)
    • Hangcha Operator Manual PDF (145)
    • Hangcha Other Manual PDF (67)
    • Hangcha Parts Manual PDF (302)
    • Hangcha Service Manual PDF (70)
  • IMPCO (0)
    • IMPCO Operator Manual PDF (0)
    • IMPCO Parts Manual PDF (0)
    • IMPCO Service Manual PDF (0)
  • Isuzu (0)
    • Isuzu Operator Manual PDF (0)
    • Isuzu Parts Manual PDF (0)
    • Isuzu Workshop Manual PDF (0)
  • Jiachen (0)
    • Jiachen Operator Manual PDF (0)
    • Jiachen Other Manual PDF (0)
  • JLG (0)
    • JLG Operator Manual PDF (0)
    • JLG Parts Manual PDF (0)
    • JLG Service Manual PDF (0)
  • John Deere (0)
    • John Deere Parts Manual PDF (0)
  • Jungheinrich (0)
    • Jungheinrich Operator Manual PDF (0)
  • Kubota (0)
    • Kubota Operator Manual PDF (0)
    • Kubota Parts Manual PDF (0)
    • Kubota Workshop Manual PDF (0)
  • Lift-Rite (0)
    • Lift-Rite Parts Manual PDF (0)
  • Linkbelt (17)
    • Linkbelt (17)
  • Logisnext (1)
    • Logisnext Parts Manual PDF (0)
    • Logisnext Service Manual PDF (1)
  • Mannesmann (0)
    • Mannesmann Service Manual PDF (0)
  • Mitsubishi (600)
    • Mitsubishi Operation Manual PDF (200)
    • Mitsubishi Operator Manual PDF (0)
    • Mitsubishi Other Manual PDF (0)
    • Mitsubishi Parts Manual PDF (22)
    • Mitsubishi Service Manual PDF (355)
    • Mitsubishi Wiring Diagrams PDF (22)
    • Mitsubishi Workshop Manual PDF (1)
  • Mlift (0)
    • Mlift Operation Manual PDF (0)
    • Mlift Service Manual PDF (0)
  • Motrec (0)
    • Motrec Operator Manual PDF (0)
  • Movit (0)
    • Movit Parts Manual PDF (0)
  • Nippon Yusoki (0)
    • Nippon Yusoki Parts Manual PDF (0)
    • Nippon Yusoki Workshop Manual PDF (0)
  • Nissan (0)
    • Nissan Other Manual PDF (0)
    • Nissan Service Manual PDF (0)
  • Okamura (0)
    • Okamura Other Manual PDF (0)
    • Okamura Parts Manual PDF (0)
    • Okamura Service Manual PDF (0)
  • Other Manual (140)
    • Caterpillar Other Manual PDF (139)
    • Mitsubishi Other Manual PDF (0)
    • Rocla Other Manual PDF (1)
  • Perkins (5)
    • Perkins Operation Manual PDF (5)
    • Perkins Parts Manual PDF (0)
  • Poclain Hydraulics (0)
    • Poclain Hydraulics Service Manual PDF (0)
  • PSI (0)
    • PSI Operator Manual PDF (0)
    • PSI Parts Manual PDF (0)
    • PSI Service Manual PDF (0)
  • Rocla (2)
    • Rocla Operation Manual PDF (2)
  • Toro (17)
    • Toro (17)
  • Towmotor (44)
    • Towmotor Operation Manual PDF (20)
    • Towmotor Parts Manual PDF (1)
    • Towmotor Service Manual PDF (23)
  • Toyota (0)
    • Toyota Parts Manual PDF (0)
    • Toyota Service Manual PDF (0)
  • VW (0)
    • VW Workshop Manual PDF (0)
  • Weichai (0)
    • Weichai Parts Manual PDF (0)
  • WoodWard (0)
    • WoodWard Service Manual PDF (0)
  • Xinchai (0)
    • Xinchai Operator Manual PDF (0)
    • Xinchai Other Manual PDF (0)
    • Xinchai Parts Manual PDF (0)
    • Xinchai Workshop Manual PDF (0)
  • Yamar (0)
    • Yamar Service Manual PDF (0)
  • Yanmar (0)
    • Yanmar Operator Manual PDF (0)
    • Yanmar Other Manual PDF (0)
    • Yanmar Parts Manual PDF (0)
    • Yanmar Service Manual PDF (0)
  • Yitou (0)
    • Yitou Operator Manual PDF (0)
    • Yitou Other Manual PDF (0)
    • Yitou Parts Manual PDF (0)
  • Yuchai (0)
    • Yuchai Parts Manual PDF (0)
  • Zapi (0)
    • Zapi Operator Manual PDF (0)
  • ZF (0)
    • ZF Other Manual PDF (0)
    • ZF Parts Manual PDF (0)
  • Model List:

    • K21 Engine, K25 Engine
  • 1. How to use this manual
  • 1.1. Description
  • 1.2. Definition of Terms
  • 1.3. Definition of Units
  • 1.4. Description
  • 2. Precautions for safety and quality
  • 2.1. Reduction of Risk Operation
  • 2.2. Correct Operation
  • 2.3. Precautions for Radio Equipment Installation
  • 3. Precautions
  • 3.1. Precautions in Draining Engine Coolant
  • 3.2. Precautions for Disconnecting Fuel Piping
  • 3.3. Precautions for Removing and Disassembling
  • 3.4. Precautions for Inspection, Correction, and Replacement
  • 3.5. Precautions for Assembly and Installation
  • 3.6. Parts Requiring Angle Tightening
  • 3.7. Caution for Use of Power Tools
  • 3.8. Precautions for Liquid Gasket Application
  • 4. Tightening torque
  • 4.1. Standard Bolt Tightening Torque
  • 4.2. Engine Part Tightening Torque
  • 5. Special Service Tools
  • 6. Engine outside drawings
  • 7. Standard and repair limit
  • 8. Trouble diagnosis
  • 8.1. Engine Adjustment
  • 8.2. Engine LPG Fuel System
  • 9. Engine maintenance
  • 9.1. Specifications
  • 9.2. Tightening Torque
  • 9.3. Maintenance Schedule
  • 9.4. Oil and Grease, and Capacity
  • 9.5. On Board Inspection and Service
  • 10. Specifications
  • 11. Tightening torque
  • 12. Trouble diagnosis
  • 13. ENGINE INSPECTION AND ADJUSTMENT
  • 13.1. Engine Body Related
  • 13.2. Ignition and Fuel Systems
  • 14. SERVICE DATA AND SPECI FICATIONS (SDS)
  • 14.1. Electronic Control System Specifications
  • 15. Precautions
  • 15.1. Precautions for Draining Engine Coolant
  • 15.2. Precautions for Disconnecting Fuel Piping
  • 15.3. Precautions for Removing and Disassembling
  • 15.4. Precautions for Inspection, Correction, and Replacement
  • 15.5. Precautions for Assembly and Installation
  • 15.6. Parts Requiring Angle Tightening
  • 15.7. Caution for Use of Power Tools
  • 15.8. Precautions for Liquid Gasket Application
  • 16. Engine outside drawings
  • 17. Adjustment value
  • 18. Tightening torque
  • 18.1. Standard Bolt Tightening Torque
  • 18.2. Engine Part Tightening Torque
  • 19. Trouble diagnosis
  • 20. Special Service Tools
  • 21. Removal and installation of engine
  • 21.1. Removal
  • 21.2. Installation
  • 21.3. Inspection
  • 22. Engine service
  • 22.1. Engine Disassembly
  • 22.2. Inspection and Correction
  • 22.3. Engine Assembly
  • 23. Precautions
  • 23.1. General precautions for service operations
  • 24. Preparation
  • 24.1. Service Tools
  • 25. Description
  • 26. Basic inspection
  • 26.1. Inspection of Idle Speed, Ignition Timing, and Air-fuel Ratio
  • 26.2. Throttle Valve Closed Position Learning and Idle Air Volume Learning
  • 26.3. Accelerator Pedal Released Position Learning
  • 26.4. Fuel pressure inspection
  • 27. Trouble Diagnosis
  • 27.1. How to Proceed with Trouble Diagnosis
  • 27.2. Diagnosis Chart by Symptom
  • 27.3. Component Parts Location
  • 27.4. ECM Component
  • 27.5. Circuit Diagram
  • 27.6. ECM Terminal Layout
  • 27.7. ECM Input/Output Signal Specifications
  • 27.8. Service Tool (ST)
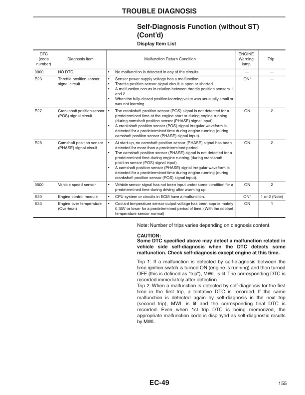
  • 27.9. Self-Diagnosis Function (without ST)
  • 27.10. ST Reference Value in Data Monitor
  • 27.11. Fail-Safe Function
  • 28. Power supply and ground system
  • 28.1. ECM Input/Output Signal Specifications
  • 28.2. Circuit Diagram
  • 29. Crankshaft position sensor (POS) sys tem
  • 29.1. ECM Input/Output Signal Specifications
  • 29.2. Circuit Diagram
  • 29.3. Component Parts Inspection
  • 30. Camshaft position sen sor (PHASE) system
  • 30.1. ECM Input/Output Signal Specifications
  • 30.2. Circuit Diagram
  • 30.3. Component Parts Inspection
  • 31. Mass air flow sensor system
  • 31.1. ST Data Monitor Display
  • 31.2. ECM Input/Output Signal Specifications
  • 31.3. Circuit Diagram
  • 31.4. Component Parts Inspection
  • 32. Engine coolant tempera ture sensor system
  • 32.1. ST Data Monitor Display
  • 32.2. ECM Input/Output Signal Specifications
  • 32.3. Circuit Diagram
  • 32.4. Component Parts Inspection
  • 33. Heated oxygen sensor system
  • 33.1. ST Data Monitor Display
  • 33.2. ECM Input/Output Signal Specifications
  • 33.3. Circuit Diagram
  • 34. Throttle position sensor system
  • 34.1. ST Data Monitor Display
  • 34.2. ECM Input/Output Signal Specifications
  • 34.3. Circuit Diagram
  • 34.4. Component Parts Inspection
  • 35. Accelerator pedal position sensor system
  • 35.1. ST Data Monitor Display
  • 35.2. ECM Input/Output Signal Specifications
  • 35.3. Circuit Diagram
  • 35.4. Component Parts Inspection
  • 36. Intake air temperature sensor
  • 36.1. ST Data Monitor Display
  • 36.2. ECM Input/Output Signal Specifications
  • 36.3. Circuit Diagram
  • 36.4. Component Parts Inspection
  • 37. PNP switch system
  • 37.1. ST Data Monitor Display
  • 37.2. ECM Input/Output Signal Specifications
  • 37.3. Circuit Diagram
  • 38. Stop lamp switch system
  • 38.1. ST Data Monitor Display
  • 38.2. ECM Input/Output Signal Specifications
  • 38.3. Circuit Diagram
  • 38.4. Component Parts Inspection
  • 39. Electric load switch system
  • 39.1. ST Data Monitor Display
  • 39.2. ECM Input/Output Signal Specifications
  • 39.3. Circuit Diagram
  • 40. CAN communication system
  • 40.1. ECM Input/Output Signal Specifications
  • 40.2. Circuit Diagram
  • 41. Ignition system
  • 41.1. ST Data Monitor Display
  • 41.2. ECM Input/Output Signal Specifications
  • 41.3. Circuit Diagram
  • 41.4. Component Parts Inspection
  • 42. Fuel injector system
  • 42.1. ST Data Monitor Display
  • 42.2. ECM Input/Output Signal Specifications
  • 42.3. Circuit Diagram
  • 42.4. Component Parts Inspection
  • 43. Fuel pump system
  • 43.1. ST Data Monitor Display
  • 43.2. ECM Input/Output Signal Specifications
  • 43.3. Circuit Diagram
  • 43.4. Component Parts Inspection
  • 44. Throttle control motor system
  • 44.1. ECM Input/Output Signal Specifications
  • 44.2. Circuit Diagram
  • 44.3. Component Parts Inspection
  • 45. Heated oxygen sensor heater system
  • 45.1. ST Data Monitor Display
  • 45.2. ECM Input/Output Signal Specifications
  • 45.3. Circuit Diagram
  • 45.4. Component Parts Inspection
  • 46. PCV gas recirculation device
  • 46.1. System Diagram
  • 46.2. Component Parts Inspection
  • 47. Fuel cut function
  • 47.1. Inspection Procedure
  • 48. Removal and installation of ECM components
  • 48.1. Removal and Installation of ECM
  • 48.2. Removal and Installation of Crankshaft Position Sensor (POS)
  • 48.3. Removal and Installation of Camshaft Position Sensor (PHASE)
  • 48.4. Removal and Installation of Mass Air Flow Sensor
  • 48.5. Removal and Installation of Engine Coolant Temperature Sensor.
  • 48.6. Removal and Installation of Heated Oxygen Sensor (with Heated Oxygen Sensor Heater)
  • 48.7. Removal and Installation of Throttle Position Sensor (Electric Throttle Control Actuator Assembly)
  • 48.8. Removal and Installation of Accelerator Pedal Position Sensor (Accelerator Pedal Assembly)
  • 48.9. Removal and Installation of Intake Air Temperature Sensor (with Mass Air Flow Sensor)
  • 48.10. Removal and Installation of Neutral Switch (M/T Model)
  • 48.11. Removal and Installation of Ignition Coil (with Power Transistor)
  • 48.12. Removal and Installation of Fuel Injector
  • 48.13. Removal and Installation of Fuel Pump
  • 48.14. Removal and Installation of Throttle Control Motor (Electric Throttle Control Actuator Assembly)
  • 48.15. Removal and Installation of LPG Injector Holder
  • 48.16. Removal and Installation of LPG Injector Drive Unit
  • 49. SERVICE DATA AND SPECIFICATIONS (SDS)
  • 49.1. Standard, Repair Limit
  • 50. Lubrication system
  • 50.1. Specifications
  • 50.2. Adjustment Value
  • 50.3. Oil Pressure
  • 50.4. Tightening Torque
  • 50.5. Trouble Diagnosis
  • 50.6. Lubrication Schematic Diagram
  • 50.7. Oil Pump
  • 51. Engine coolant system
  • 51.1. Specifications
  • 51.2. Adjustment Value
  • 51.3. Tightening Torque
  • 51.4. Trouble Diagnosis
  • 51.5. Cooling System Configuration
  • 51.6. Water Pump
  • 51.7. Thermostat
  • 51.8. Thermostat
  • 52. Emission control system (only for electronic controlled type)
  • 53. Unit layout
  • 54. LPG fuel system trouble diagnosis
  • 55. Disassembly and assembly of fuel system
  • 55.1. Removal and Installation of LPG Injector Drive Unit Connector
  • 55.2. Removal and Installation of Electronic Control Throttle Assembly
  • 55.3. Removal and Installation of Gasoline Fuel Injector (Electronic Controlled Gasoline and Combined Use)
  • 55.4. Injector Holder
  • 56. Vaporizer mechanism and operation
  • 56.1. Primary (Decompression) Room
  • 56.2. Description
  • 57. Adjustment value
  • 58. Trouble diagnosis
  • 59. Starter motor
  • 59.1. Starter Motor Specifications
  • 59.2. Component Parts Location
  • 59.3. Overhaul
  • 59.4. Assembly Inspection
  • 60. Alternator
  • 60.1. Components of Alternator
  • 60.2. Disassembly
  • 60.3. Inspection
Rate this product
You may also like
Mitsubishi 4G33, 4G52, 4G54 Service Manual 99719-42120

Mitsubishi Service Manual PDF

Mitsubishi 4G33, 4G52, 4G54 Service Manual 99719-42120

$50.00
Add to cart
Mitsubishi 2FBC25 Forklift Service ManualAlternative view of Mitsubishi 2FBC25 Forklift Service Manual

Mitsubishi Service Manual PDF

Mitsubishi 2FBC25 Forklift Service Manual

$50.00
Add to cart
Mitsubishi 6BG1T Diesel Engine Service Manual SMEEG-J091K-210Alternative view of Mitsubishi 6BG1T Diesel Engine Service Manual SMEEG-J091K-210

Mitsubishi Service Manual PDF

Mitsubishi 6BG1T Diesel Engine Service Manual SMEEG-J091K-210

$50.00
Add to cart
Mitsubishi GM 4.3L (G6) Fuel System Supplement Service Manual 99789-74111

Mitsubishi Service Manual PDF

Mitsubishi GM 4.3L (G6) Fuel System Supplement Service Manual 99789-74111

$50.00
Add to cart
Mitsubishi 4G63, 4G64, 6G72 Liquefied Petroleum Gas Supplement Service Manual 99729-75100

Mitsubishi Service Manual PDF

Mitsubishi 4G63, 4G64, 6G72 Liquefied Petroleum Gas Supplement Service Manual 99729-75100

$50.00
Add to cart
Mitsubishi 1204E Diesel Engine Disassembly and Assembly Service Manual 99799-56102

Mitsubishi Service Manual PDF

Mitsubishi 1204E Diesel Engine Disassembly and Assembly Service Manual 99799-56102

$50.00
Add to cart
Mitsubishi 1204E Diesel Engine Service Manual SMEEA-AF15E-200

Mitsubishi Service Manual PDF

Mitsubishi 1204E Diesel Engine Service Manual SMEEA-AF15E-200

$50.00
Add to cart
Mitsubishi 4G15 Gasoline Engine Service Manual 99719-16110Alternative view of Mitsubishi 4G15 Gasoline Engine Service Manual 99719-16110

Mitsubishi Service Manual PDF

Mitsubishi 4G15 Gasoline Engine Service Manual 99719-16110

$50.00
Add to cart
Mitsubishi 4G63, 4G64 Fuel System Supplement Service Manual 99729-75110

Mitsubishi Service Manual PDF

Mitsubishi 4G63, 4G64 Fuel System Supplement Service Manual 99729-75110

$50.00
Add to cart
Mitsubishi 4DQ7, S4S Diesel Engine Service Manual

Mitsubishi Service Manual PDF

Mitsubishi 4DQ7, S4S Diesel Engine Service Manual

$50.00
Add to cart
    Links of interest
    • About us
    • Refund and Returns Policy
    • Terms & Conditions
    • Shipping Policy
    • Privacy Policy
    • Contact Us
    Product tags
    Agricultural Automotive Heavy Construction
© All rights reserved. 2023
PayPal
Visa
BitCoin
MasterCard
Western Union
Visa
PayPal
MasterCard
Copyright 2026 © ownersmanualpdf.net
  • Category
  • Menu
  • About us
  • Shop
  • News
  • Contact Us
  • Aisle-Master
    • Aisle-Master Operator Manual PDF
    • Aisle-Master Parts Manual PDF
    • Aisle-Master Service Manual PDF
  • BT
    • BT Operator Manual PDF
    • BT Parts Manual PDF
    • BT Service Manual PDF
    • BT Wiring Diagrams PDF
  • Caterpillar
    • Caterpillar Operation Manual PDF
    • Caterpillar Parts Manual PDF
    • Caterpillar Service Manual PDF
    • Caterpillar Wiring Diagrams PDF
  • Mitsubishi
    • Mitsubishi Operation Manual PDF
    • Mitsubishi Operator Manual PDF
    • Mitsubishi Other Manual PDF
    • Mitsubishi Parts Manual PDF
    • Mitsubishi Service Manual PDF
    • Mitsubishi Wiring Diagrams PDF
    • Mitsubishi Workshop Manual PDF
  • Cesab
    • Cesab Operator Manual PDF
    • Cesab Parts Manual PDF
    • Cesab Service Manual PDF
  • Combilift
    • Combilift Operator Manual PDF
    • Combilift Parts Manual PDF
    • Combilift Service Manual PDF
    • Combilift Wiring Diagrams PDF
  • Deutz
    • Deutz Operator Manual PDF
    • Deutz Parts Manual PDF
  • Doosan
    • Doosan Operator Manual PDF
    • Doosan Other Manual PDF
    • Doosan Parts Manual PDF
    • Doosan Service Manual PDF
    • Doosan Wiring Diagrams PDF
  • EP Forklift
    • EP Forklift Operator Manual PDF
    • EP Forklift Parts Manual PDF
    • EP Forklift Service Manual PDF
  • Hangcha
    • Hangcha Operator Manual PDF
    • Hangcha Other Manual PDF
    • Hangcha Parts Manual PDF
    • Hangcha Service Manual PDF
  • IMPCO
    • IMPCO Operator Manual PDF
    • IMPCO Parts Manual PDF
    • IMPCO Service Manual PDF
  • Jiachen
    • Jiachen Operator Manual PDF
    • Jiachen Other Manual PDF
  • JLG
    • JLG Operator Manual PDF
    • JLG Parts Manual PDF
    • JLG Service Manual PDF
  • Kubota
    • Kubota Operator Manual PDF
    • Kubota Parts Manual PDF
    • Kubota Workshop Manual PDF
  • Mlift
    • Mlift Operation Manual PDF
    • Mlift Service Manual PDF
  • Nissan
    • Nissan Other Manual PDF
    • Nissan Service Manual PDF
  • Okamura
    • Okamura Other Manual PDF
    • Okamura Parts Manual PDF
    • Okamura Service Manual PDF
  • Perkins
    • Perkins Operation Manual PDF
    • Perkins Parts Manual PDF
  • PSI
    • PSI Operator Manual PDF
    • PSI Parts Manual PDF
    • PSI Service Manual PDF
  • Towmotor
    • Towmotor Operation Manual PDF
    • Towmotor Parts Manual PDF
    • Towmotor Service Manual PDF
  • Toyota
    • Toyota Parts Manual PDF
    • Toyota Service Manual PDF
  • Xinchai
    • Xinchai Operator Manual PDF
    • Xinchai Parts Manual PDF
    • Xinchai Workshop Manual PDF
    • Xinchai Other Manual PDF
  • Yanmar
    • Yanmar Operator Manual PDF
    • Yanmar Parts Manual PDF
    • Yanmar Service Manual PDF
    • Yanmar Other Manual PDF
  • Yitou
    • Yitou Operator Manual PDF
    • Yitou Other Manual PDF
    • Yitou Parts Manual PDF