BT SWE120L, SWE160D Service Manual 229101-040
$30.00
- Type Of Manual: Service Manual
- Manual ID: 229101-040
- : Service Manual PDF
- Number of Pages: 168
- Size: 5.5MB
- Format: PDF
Category: BT Service Manual PDF
-
Model List:
- SWE120L, SWE160D
- 1. Table of contents
- 2. Technical data – M4
- 3. Introduction Maintenance – P1
- 3.1. Safety regulations with maintenance work
- 3.2. Cleaning and washing
- 3.2.1. External cleaning
- 3.2.2. Cleaning the motor compartment
- 3.2.3. Electrical components
- 3.3. Safe lifting
- 4. Preventive maintenance – P2
- 4.1. Maintenance schedule
- 4.2. Lubrication schedule
- 5. Oil and grease specification – P3
- 6. Tools – P4
- 6.1. Super Seal connectors
- 6.2. AMP connectors
- 6.2.1. AMP Connectors, 040 series
- 6.3. Molex connectors
- 6.4. Grease guns
- 6.5. Other tools
- 7. Support arms – 0350
- 7.1. Greasable support arms
- 8. Engine suspension- 0450
- 8.1. Component parts
- 8.1.1. Component List
- 8.1.2. Adjusting play, turning tube mounting
- 9. Electric drive motor – 1760
- 9.1. Component parts
- 9.1.1. Dismantling of motor from truck
- 9.1.2. Assembling
- 9.2. Service/Repairs
- 9.2.1. Dismantling of motor
- 9.2.2. Assembling of motor
- 9.2.3. Cleaning
- 10. Drive unit/gear – 2550
- 10.1. Component parts
- 10.2. Leakage from top cover
- 10.3. Changing of the drive shafts sealing ring
- 10.3.1. Dismantling
- 10.3.2. Assembling
- 11. Electro magnetic brake – 3370
- 11.1. Main components
- 11.1.1. Serial number 570989-
- 11.2. Maintenance
- 11.2.1. Exchange of brake disc
- 12. Steering – 4000
- 12.1. Component parts, tiller arm
- 12.2. Adjustments
- 12.2.1. Adjusting of brake microswitch
- 12.3. Tiller arm handle
- 12.3.1. Dismantling/Assembling
- 12.3.1.1. Changing of signal button/switch (9, 10)
- 12.3.1.2. Changing of lift/lowering button (13)
- 12.3.1.3. Changing of pushbutton (16)
- 13. Electrical systems – 5000
- 13.1. General
- 13.1.1. Part numbers
- 13.2. Component identification
- 13.2.1. Component list
- 13.3. Electrical wiring diagram
- 13.3.1. Symbol list
- 13.3.2. Overview
- 13.3.3. Electrical wiring diagrams
- 13.4. Functional description
- 13.4.1. Starting the truck
- 13.4.2. Driving
- 13.4.3. Neutral speed reduction
- 13.4.4. Neutral speed reduction on slopes
- 13.4.5. Braking
- 13.4.6. Lifting the forks
- 13.4.7. Lifting the support arms
- 13.4.8. Lowering the forks
- 13.4.9. Lowering the support arms
- 13.4.10. Horn
- 13.4.11. Hour meter
- 13.4.12. Transistor regulator
- 13.4.13. Spider expansion unit (SEU) (option)
- 13.4.14. TLS – Truck log system (optional)
- 13.4.14.1. General
- 13.4.14.2. Registration
- 13.4.14.3. Logging in/out SD16
- 13.4.14.4. Logging in/out S16
- 13.4.14.5. Collision sensor
- 13.4.14.6. Settings
- 13.4.15. ID unit (optional)
- 13.4.15.1. General
- 13.4.15.2. Installation
- 13.4.15.3. Settings
- 13.5. Parameters
- 13.5.1. General
- 13.5.2. Viewing parameters – without the CAN service key
- 13.5.3. Adjusting operator parameters – without the CAN service key
- 13.5.4. Viewing changing parameters – CAN service key connected
- 13.5.4.1. Changing a parameter
- 13.5.5. Operator parameters
- 13.5.6. Parameter description
- 13.5.6.1. Parameter 1
- 13.5.6.2. Parameter 2
- 13.5.6.3. Parameter 3
- 13.5.6.4. Parameter 4
- 13.5.6.5. Parameter 5
- 13.5.7. Service parameters
- 13.5.8. Parameter description
- 13.5.8.1. Parameter 10
- 13.5.8.2. Parameter 14
- 13.5.8.3. Parameter 15 – Non-configurable options
- 13.5.8.4. Setting Non-configurable options
- 13.5.8.5. Parameter 16 – Configurable option 1
- 13.5.8.6. Parameter 17 – Configurable option 2
- 13.5.8.7. Parameter 18 – Configurable option 3
- 13.5.8.8. Parameter 19 – Configurable option 4
- 13.5.8.9. Parameter 20
- 13.5.8.10. Parameter 21
- 13.5.8.11. Recommendation on parameter setting for freely ventilated batteries
- 13.5.8.12. Instructions for verifying parameter setting
- 13.5.8.13. Recommendation on parameter setting for valve- controlled batteries (VRLA)
- 13.5.8.14. Instructions for verifying parameter setting
- 13.5.8.15. Parameter 22
- 13.5.8.16. Parameter 25
- 13.5.8.17. Parameter 28
- 13.5.8.18. Parameter 39
- 13.5.8.19. Login method and driver parameter access
- 13.5.8.20. Expanded keypad – General
- 13.5.8.21. Expanded keypad – Programming
- 13.5.9. Configurable Option Parameters
- 13.5.9.1. General
- 13.5.9.2. Summary of base options
- 13.5.9.3. Convention for configurable options
- 13.5.9.4. Detailed option parameter tables
- 13.6. Diagnostic and troubleshooting
- 13.6.1. General
- 13.6.2. Error code history
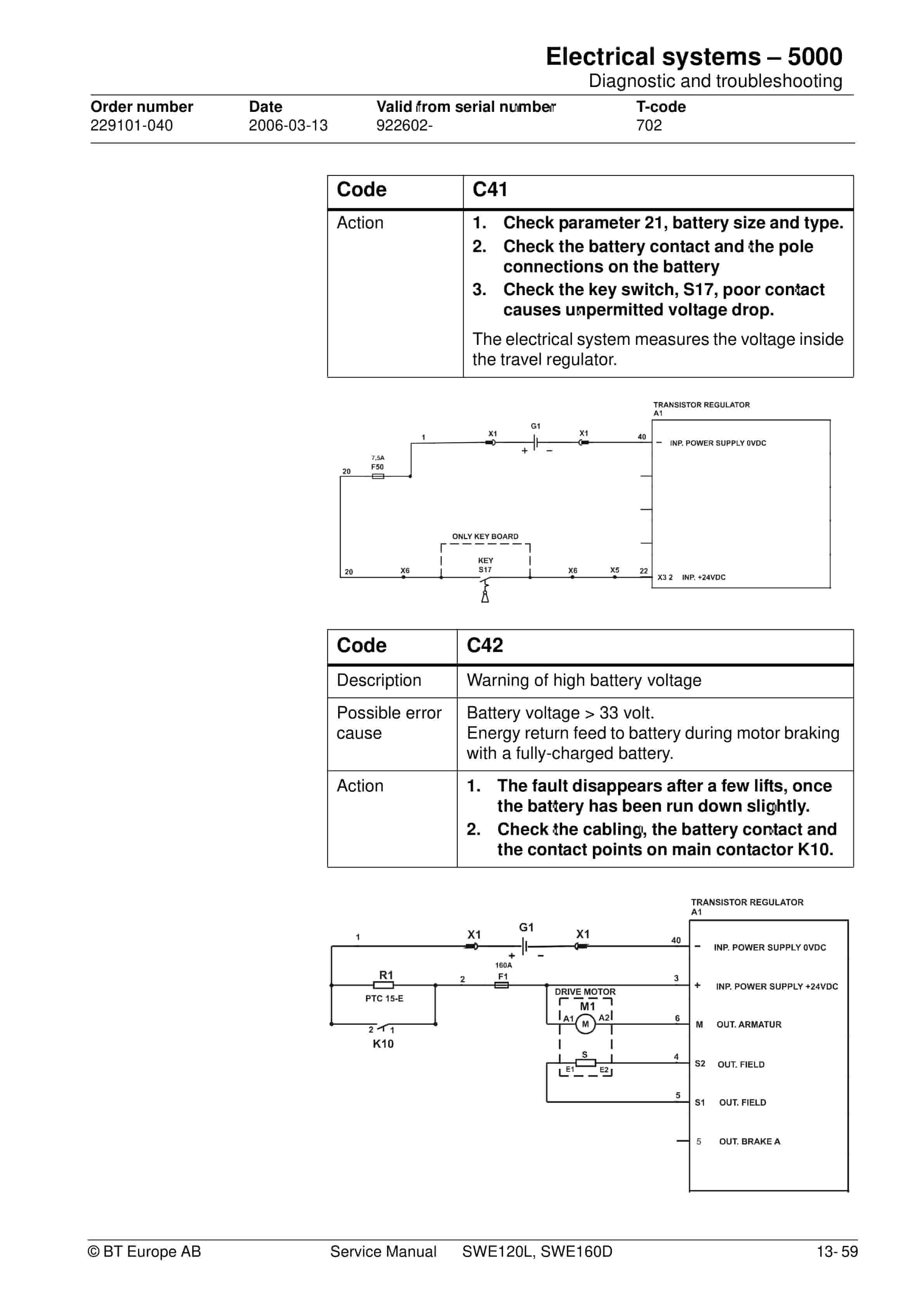
- 13.6.3. Error codes
- 13.6.4. Transistor regulator errors
- 13.6.4.1. Resetting errors
- 13.6.5. Built-in Test Function
- 13.6.5.1. Digital inputs/outputs test mode
- 13.6.5.2. Inputs check
- 13.6.5.3. Outputs check
- 13.6.5.4. Option buttons check
- 13.6.5.5. Display test mode
- 13.7. Technical specifications – Curtis 1243
- 14. Hydraulic system – 6000
- 14.1. General
- 14.2. Hydraulic diagram and components
- 14.2.1. Main components
- 14.2.2. Description
- 14.2.2.1. Lowering
- 14.2.2.2. Operating pressure
- 14.2.2.3. Relief valve
- 14.2.2.4. Pressure switch
- 15. Lifting mast – 7000
- 15.1. Adjusting the measurement between the guide and the mast
- 15.2. Grease the beam flanges and beam ribs
- 15.3. Main lift chain system –
- 15.3.1. General
- 15.3.2. Checking the chain setting
- 15.3.3. Chain inspection
- 15.3.4. Noise
- 15.3.5. Surface rust
- 15.3.6. Rusty links
- 15.3.7. Stiff links
- 15.3.8. Bolt rotation
- 15.3.9. Loose bolts
- 15.3.10. Outline wear
- 15.3.11. Stretching
- 15.3.12. Damage
- 15.3.13. Damaged discs
- 15.3.14. Damaged bolts
- 15.3.15. Dirty chain
- 15.3.16. Cleaning
- 15.3.17. Lubrication
- 16. Battery charger (built-in) – 8340
- 16.1. General
- 16.2. Technical data – charger
- 16.3. Charging
- 16.3.1. Machine numbers 723984-936512
- 16.3.2. Machine numbers 936513-
- 16.4. Troubleshooting and service
- 16.5. Setting the charger (applies to machine numbers 723984-936512)
- 16.5.1. Freely ventilated batteries
- 16.5.2. Valve-regulated batteries
- 16.5.3. Current levels at different charger settings (applies to machine numbers 936513-)
- 16.5.3.1. Freely ventilated batteries
- 16.5.3.2. Valve-regulated batteries (Evolution type)
- 17. TruckCom
- 17.1. General
- 17.2. Connection
- 17.3. Layout
- 17.3.1. Main program screen
- 17.3.2. Nodes
- 17.3.3. Icons
- 17.3.4. Tool buttons and menu bar
- 17.3.5. Information window
- 17.3.6. Status bar
- 17.4. Connection function
- 17.5. Disconnection function
- 17.6. Downloading program function
- 17.6.1. Normal downloading (truck with key)
- 17.6.2. Normal downloading (truck with keypad)
- 17.6.3. Emergency downloading (truck with keypad)
- 17.6.4. Emergency downloading (truck with keypad)
- 17.6.5. Downloading in old versions of logic card
- 17.7. Truck report function
- 17.8. Parameters function
- 17.9. Diagnostics function
- 17.9.1. Representation of signal colours
- 17.9.2. Tiller arm tab
- 17.9.3. Drive Controller tab (transistor regulator driving)
- 17.9.4. Pump controller tab (transistor regulator pump)
- 17.9.5. EPS (steering servo tab)
- 17.9.6. SEU tab (Extra I/O module)
- 17.10. Other menu functions
- 17.10.1. Save to file
- 17.10.2. Download from file
- 17.10.3. Reset CAN adapter
- 17.10.4. Delete error code log
- 17.10.5. Reset hour meter
- 17.10.6. Read error code log
- 17.10.7. Adjust date and time
- 17.10.8. Adjusting the hour meter on older cards
- 17.10.9. Help
- 17.10.9.1. About the TruckCom application
- 17.10.10. Exit
- 17.11. Specifications
- 17.12. Installation
- 17.12.1. Installation on a PC with Windows 95/98
- 17.12.2. Installation on a PC with Windows XP/ 2000
- 17.12.2.1. Changes in Windows Control Panel
- 17.12.3. Installation on a PC with Windows NT
- 17.12.4. In case of communication problems with CAN
- 17.12.5. To uninstall
Rate this product
You may also like
BT Service Manual PDF
$30.00
BT Service Manual PDF
BT HL10 STD, HL10 I, HL10 X, HLE10 STD, HLE10 I, HLE10 X Operator And Service Manual 214438-003
$30.00
BT Service Manual PDF
$30.00










